8_如何在Matlab Simulink 搭建传递函数??Transfer Function
2026/3/2大约 2 分钟
《高级控制理论——数学基础》学习笔记
8_如何在Matlab Simulink 搭建传递函数??Transfer Function
《【工程数学基础】8_如何在Matlab Simulink 搭建传递函数??Transfer Function》王天威(网名DR_CAN),博士
给定一阶传递函数的框图:

其中输入为
一、微分方程推导
由传递函数定义
交叉相乘得
展开整理
利用拉普拉斯逆变换的线性性质
移项整理为标准形式
此即该传递函数对应的时域微分方程。
二、Simulink 框图实现
在 Simulink 中,积分模块

2.1 消除输入导数项
设积分器输入为

根据微分方程

此方法的本质是将输入导数项通过代数运算消除,避免了直接对输入信号求微分带来的数值稳定性问题。
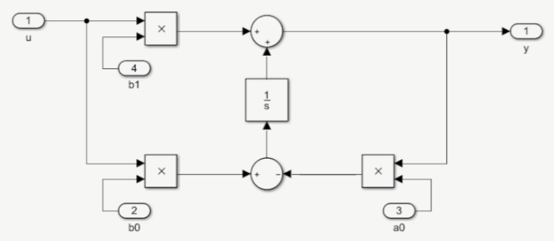
2.2 构建完整框图
为得到最终输出

其中

积分器输入

完整的 Simulink 实现框图:

验证可知,此框图与原传递函数等效。
三、高阶系统的推广
对于高阶传递函数,可采用串联积分模块的方式实现。以二阶系统为例,最右端为

此方法可推广至任意阶系统,积分器串联数量由系统阶数决定。